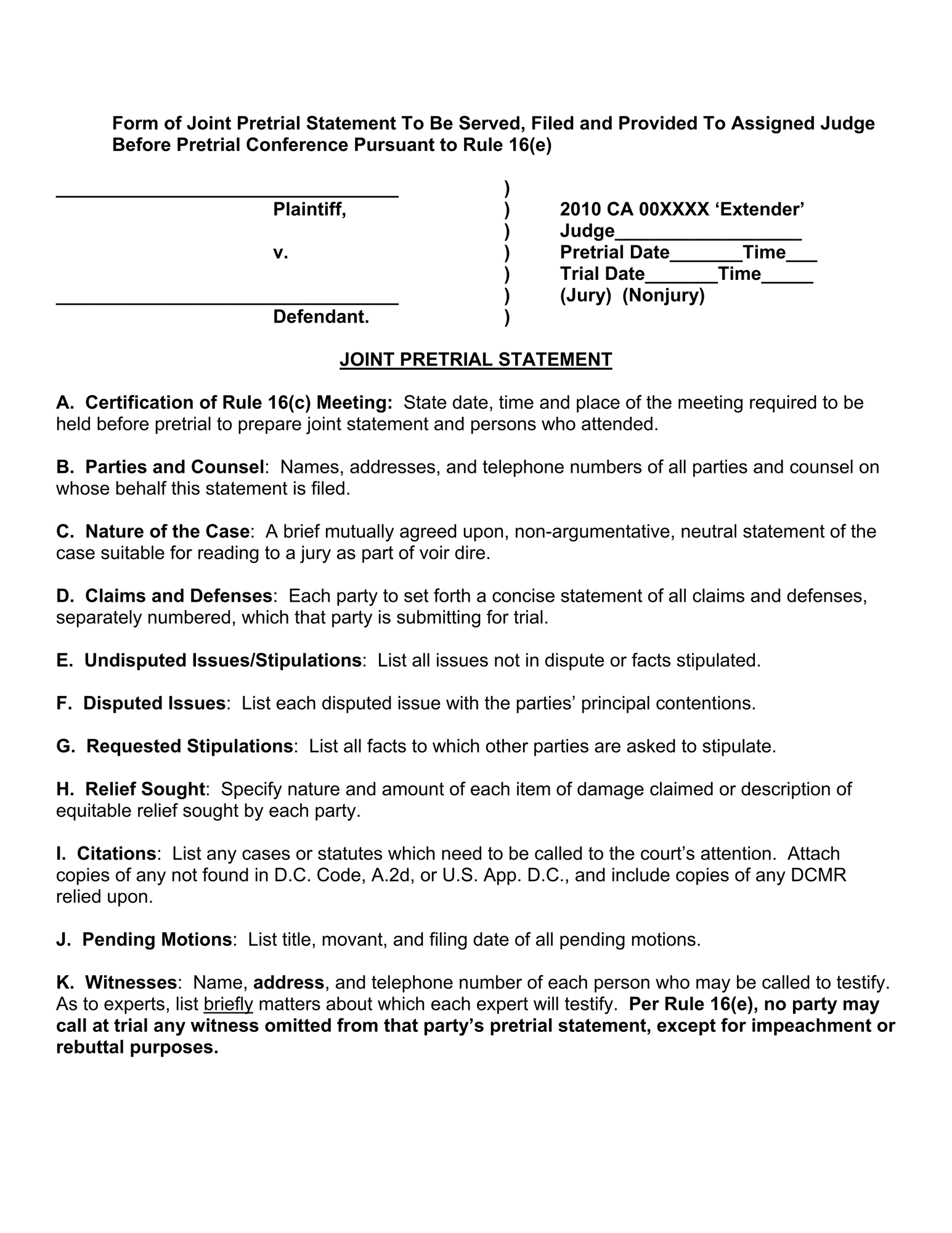
Breadcrumb Home Court Resources Search Forms Joint Pretrial Statement Joint Pretrial Statement Downloadable Forms by Language Download: English You can use this form to file a joint statement with the court before the pretrial conference outlining case issues and evidence.